14. Stura E.A., Johnson D.L., Inglese J., Smith J.M., Benkovic S.J., Wilson I.A. (1989) Preliminary Crystallographic Investigations of Glycinamide Ribonucleotide Tranformylase. Journal of Biological Chemistry 264:9703-9706.
29. Chen, P., Schulze-Gahmen U., Stura E.A., Benkovic S.J., Wilson I.A. (1992) Crystal Structure of Glycinamide Ribonucleotide Transformylase from Escherichia Coli. Journal of Molecular Biology. 227, 283-292.
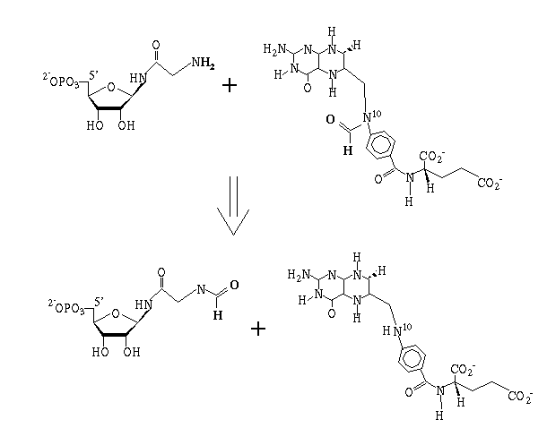
Reaction catalyzed:
Phosphate- "Native" Structure

51. Klein C. Chen P. Arevalo J.H. Stura E.A. Marolewski A. Warren M.S. Benkovic S.J. Wilson I.A. (1995) Towards structure-based drug design: crystal structure of a multisubstrate adduct complex of glycinamide ribonucleotide transformylase at 1.96 Å resolution. Journal of Molecular Biology.[JMB Online Index] 249. 53-75.[Full Article]
Abstract: An inhibitor complex structure of glycinamide ribonucleotide transformylase (GAR-Tfase; EC 2.1.2.2) from Escherichia coli has been determined with a multisubstrate adduct BW1476U89 to an R-value of 19.1% at 1.96 Å resolution. The structure was determined by a combination of molecular and single isomorphous replacement using data from two different monoclinic crystal lattices and collecting data from crystals soaked in 20% (w/v) methyl-pentanediol as cryoprotectant for shock-freezing at -150°C. The multisubstrate adduct is bound in an extended crevice at the interface between the two functional domains of the enzyme. This inhibitor is positioned in the binding site by three sets of tight interactions with its phosphate, glutamate and pyrimidone ring moieties, while its intervening linker atoms are more flexible and adopt two distinct sets of conformations. The highly conserved Arg103, His108 and Gln170 residues that are key in ligand binding and catalysis (His108), have compensatory conformational variation that gives some clues as to their role in substrate specificity and in the formyl transfer. The molecular design of 1476U89 as a multisubstrate adduct inhibitor (Ki approximately 100 pM at pH 8.5), is confirmed as it closely mimics the shape, molecular interaction and combined binding constants of the natural 10-formyltetrahydrofolate (10-CHO-H4F; Km approximately 77.4 mM at pH 8.5) and glycinamide-ribonucleotide (GAR; Km approximately 8.1 mM at pH 8.5) substrates. The stereochemistry of this ligand complex suggests that His108 may act as an electrophile stabilizing the oxyanion of the tetrahedral intermediate that is formed as a result of the direct attack on the 10-CHO-H4F by the amino group of GAR. Structural comparison of the folate binding modes among GAR-Tfase, dihydrofolate reductase and thymidylate synthase reveals that folate derivatives bound to GAR-Tfase differentially adopt the trans conformation for the dihedral angle between atoms C-6 and C-9 providing a handle for targeting specific folate-dependent enzymes. The structural information derived from two different discrete conformations of the ligand in the binding site also suggests several leads for the de novo design of inhibitors of GAR-Tfase that may develop into useful chemotherapeutic agents.